Our Technicals
Our Technical Superiority
We have state of the art manufacturing facilities and an experienced team, we manufacture technicals and active ingredients
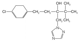
Myclobutanil
Product Information
| Product Name | Myclobutanil Technical |
| CAS No | 88671-89-0 |
| Chemical Family | Triazole |
| IUPAC Name | 2-p-chlorophenyl-2-(1H-1,2,4-triazol-1-ylmethyl) hexanenitrile |
| Mol Weight | 288.8 |
Molecular Structure

Propiconazole
Product Information
| Product Name | Propiconazole Technical |
| CAS No | 60207-90-1 |
| Chemical Family | Triazole |
| IUPAC Name | (±)-1-[2-(2,4-dichlorophenyl)-4-propyl-1,3-dioxolan-2-ylmethyl]-1H-1,2,4- triazole |
| Mol Weight | 342.2 |
Molecular Structure

Profenofos
Product Information
| Product Name | Profenofos Technical |
| CAS No | 41198-08-7 |
| Chemical Family | Organophosphate |
| IUPAC Name | O-4-bromo-2-chlorophenyl O-ethyl S- propyl phosphorothioate |
| Mol Weight | 373.6 |
Molecular Structure

Pretilachlor
Product Information
| Product Name | Pretilachlor Technical |
| CAS No | 51218-49-6 |
| Chemical Family | Chloroacetamide |
| IUPAC Name | 2-chloro-2’, 6’-diethyl-N-(2-propoxyethyl) acetanilide |
| Mol Weight | 311.9 |
Molecular Structure

Tricyclazole
Product Information
| Product Name | Tricyclazole Technical |
| CAS No | 41814-78-2 |
| Chemical Family | Triazolobenzothiazole |
| IUPAC Name | 5-methyl-1,2,4-triazolo[3,4-b][1,3] benzothiazole |
| Mol Weight | 189.2 |
Molecular Structure

Thiamethoxam
Product Information
| Product Name | Thiamethoxam Technical |
| CAS No | 153719-23-4 |
| IUPAC Name | 3-(2-chloro-1,3-thiazol-5-ylmethyl)-5-methyl-1,3,5-oxadiazinan-4-ylidene(nitro)amine |
| Mol Weight | 291.7 |
Molecular Structure

Lambda Cyhalothrin
Product Information
| Product Name | Lambda cyhalothrin Technical |
| CAS No | 91465-08-6 |
| IUPAC Name | (S)-α-cyano-3-phenoxybenzyl (Z)-(1R, 3R)- 3-(2-chloro-3,3,3-trifluoroprop-1-enyl)-2, 2-dimethylcyclopropanecarboxylate and (R)-α-cyano-3-phenoxybenzyl(Z)-(1S, 3S)-3-(2-chloro-3,3,3-triflouroprop enyl)- 2,2 dimethylcyclopropane carboxylate |
| Mol Weight | 449.9 |
Molecular Structure

Bifenthrin
Product Information
| Product Name | Bifenthrin Technical |
| CAS No | 82657-04-3 |
| IUPAC Name | 2-chloro-2′,6′-diethyl-N-(2- propoxyethyl) acetamide |
| Mol Weight | 422.9 |
Molecular Structure

Azoxystrobin
Product Information
| Product Name | Azoxystrobin Technical |
| CAS No | 131860-33-8 |
| IUPAC Name | Methyl (E)-2-{2-[6-(2-cyanophenoxy)pyrimidin-4-yloxy]phenyl}-3-methoxyacrylate |
| Mol Weight | 403.4 |
Molecular Structure

Tebuconazole
Product Information
| Product Name | Tebuconazole Technical |
| CAS No | 403-640-2 |
| IUPAC Name | (RS)-1-p-chlorophenyl-4,4-dimethyl-3-(1H-1,2,4-triazol-1-ylmethyl)pentan-3-ol |
| Mol Weight | 307.8 |
Molecular Structure

Thifluzamide
Product Information
| Product Name | Thifluzamide Technical |
| CAS No | 130000-40-7 |
| IUPAC Name | 2’,6’-dibromo-2-methyl-4’-trifluoromethoxy-4-trifluoromethyl-1,3-thiazole-5-carboxanilide |
| Mol Weight | 528.1 |
Molecular Structure

Difenoconazole
Product Information
| Product Name | Difenoconazole Technical |
| CAS No | 119446-68-3 |
| IUPAC Name | Cis, trans-3-chloro-4-[4-methyl-2-(1H-1,2,4-triazol-1-ylmethyl)-1,3-dioxolan-2-yl]phenyl 4- chlorophenylether |
| Mol Weight | 406.3 |
Molecular Structure

Bispyribac Sodium
Product Information
| Product Name | Bispyribac Sodium Technical |
| CAS No | 125401-75-4 |
| IUPAC Name | Sodium 2,6-bis(4,6-dimethoxypyrimidin-2-yloxy) benzoate |
| Mol Weight | 452.4 |
Molecular Structure

Clodinafop Propargyl
Product Information
| Product Name | Clodinafop Propargyl Technical |
| CAS No | 114420-56-3 |
| IUPAC Name | Prop-2-ynyl (R) -2-[4-(5-chloro-3-fluoropyridin-2-yloxy)phenoxy]propionate |
| Mol Weight | 349.8 |
Molecular Structure

Metribuzin
Product Information
| Product Name | Metribuzin Technical |
| CAS No | 21087-64-9 |
| IUPAC Name | 4-amino-6-tert-butyl-4,5-dihydro-3-methylthio-1,24-triazin-5-one |
| Mol Weight | 214.3 |
Molecular Structure

Quizalofop Ethyl
Product Information
| Product Name | Quizalofop Ethyl Technical |
| CAS No | 76578-12-6 |
| IUPAC Name | (RS)-2-[4-(6-chloroquinoxalin-2-yloxy)phenoxy]propionate |
| Mol Weight | 372.8 |
Molecular Structure

Haloxyfop R Methyl
Product Information
| Product Name | Haloxyfop R methyl Technical |
| CAS No | 69806-34-4 |
| IUPAC Name | (RS)-2-[4-(3-chloro-5-(trifluoromethyl)-2-pyridyloxy)phenoxy]propionic acid |
| Mol Weight | 375.7 |
Molecular Structure

Glufosinate Ammonium
Product Information
| Product Name | Glufosinate Ammonium Technical |
| CAS No | 53369-07-6 |
| IUPAC Name | Ammonium(S)-2-amino-4-[hydroxy(methyl)phosphinoyl] butyrate |
| Mol Weight | 198.2 |
Molecular Structure

We use the above technicals for captive consumption and also supply them to various companies within India and abroad. Futher, we manufacture various other technicals, intermediates and fine chemicals exclusively for major MNCs
